Odisha OMC Junior Engineer (JE) Salary 2026: Monthly & In-Hand Pay
OMC Junior Engineer Salary
Odisha OMC Job (Full Time )
Pay Level
06
Grade Pay
4200
Basic Salary
Rs.35400/-
Maximum Salary
Rs.112400/-
Min (In Hand)
≈ ₹50552/-Month
Max (In Hand)
≈ ₹127552/-Month
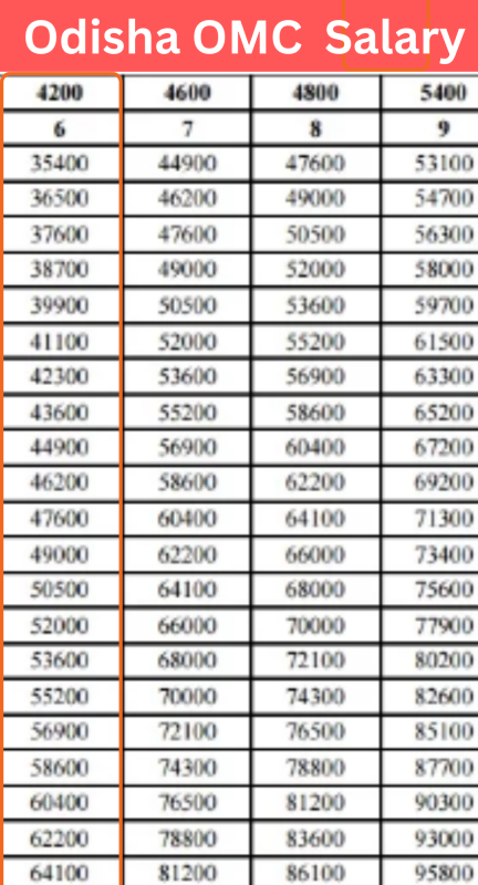
The salary for OMC Junior Engineers in Odisha is competitive, with a pay level of 06 and a pay band of PB-2(5200-20200). The Grade Pay for this role is 4200, contributing to a Pay Scale ranging from Rs 35,400 to Rs 1,12,400. The Basic Salary is Rs.35,400/-. Additional benefits include a Dearness Allowance (DA) of Rs.14,868/-, which is 53% of the Basic Pay, and a House Rent Allowance (HRA) of Rs.9,558/-, which is 27% of the Basic Pay. Transport Allowance (TA) is provided as per norms. The minimum take-home pay (In Hand) is approximately ₹50,552/- per month, while the maximum in-hand salary is around ₹1,27,552/- per month.
★ Top 3 key highlights:
-
Odisha OMC Salary 2024: Rs.35400/- to Rs 112400/- per month
-
Odisha OMC Initial Pay: Rs 50552/- per month
-
Odisha OMC Maximum Salary :Rs 127552/-/- per month
- Odisha OMC Junior Engineer Salary 2025
- Odisha OMC Junior Engineer Salary Allowances (2025)
- Odisha OMC Junior Engineer Salary Deductions (2025)
- Dearness Allowance (DA)
- House Rent Allowance (HRA)
- Transport Allowance (TA)
- Medical Allowance (MA)
- City Compensatory Allowance (CCA)
- Income Tax
- Provident Fund (PF)
- Pension Fund (PF)
- Professional Tax
- Group Insurance
- Odisha OMC Junior Engineer Salary 7th Pay Commission
Odisha OMC Junior Engineer Salary 2025
| Information | Details |
|---|---|
| Name | OMC Junior Engineer Salary |
| Profession | Odisha OMC Job (Full Time ) |
| Pay Level | 06 |
| Pay Band | PB-2(5200-20200) |
| Grade Pay | 4200 |
| Pay Scale | Rs 35400/- to 112400/- |
| Basic Salary | Rs.35400/- |
| Maximum Salary | Rs.112400/- |
| (DA) | 53% Of BP |
| (HRA) | 10-20% Of BP |
| Transport Allowance (TA) | As Per Applicable |
| Min (In Hand) | ≈ ₹50552/-Month |
| Max (In Hand) | ≈ ₹127552/-Month |
Odisha OMC Junior Engineer Salary Allowances (2025)
The 2024 Odisha OMC Salary recruitment process will incorporate thorough assessments, including written examinations and typing evaluations. Individuals who successfully attain the position can anticipate a competitive salary package aligned with government regulations. This comprehensive package encompasses components such as House Rent Allowance (H.R.A.), Arrears, Travel Allowance (T.A.), and Dearness Allowance (D.A.)
Dearness Allowance (DA)
42% of Basic Salary
House Rent Allowance (HRA)
27% of Basic Salary in cities with population less than 10 lakh and 30% of Basic Salary in cities with population more than 10 lakh
Transport Allowance (TA)
Rs. 3600 per month
Medical Allowance (MA)
Rs. 250 per month
City Compensatory Allowance (CCA)
Rs. 500 per month
Odisha OMC Junior Engineer Salary Deductions (2025)
In the salary framework of Odisha OMC, various deductions are applied to both basic salaries and allowances. The following table provides a concise overview of commonly used deduction categories.
Income Tax
10% - 30%
Provident Fund (PF)
12%
Pension Fund (PF)
10%
Professional Tax
Nil
Group Insurance
0.5%
Odisha OMC Junior Engineer Salary 7th Pay Commission
.jpg)
✦ Top Odisha OMC Junior Engineer Salary Govt Jobs Perks
01 DA
02 HRA
03 TA
04 NPS
05 MA


Comments-
Sarkari Naukri Exams-
Thanks for visiting us!
If you have any question please add a comment.
We will reply within 24 Hours.
Thanks & Regards!
Sarkari Naukri Exams.
Updated:
Highlights
Advertisements
Comment