1/100

(1) If a rat is called a dog and a snake is called a mongoose and If a peacock is called a pigeon and a pig is called nilgai, then Which animal does man domesticat | यदि चूहे को कुत्ता और साँप को नेवला कहा जाए और मोर को कबूतर और सुअर को नीलगाय कहा जाए, तो मनुष्य किस जानवर को पालता है? JEE-2019


(2) How many totals between 26th January, 996 to 5th May, 996 Will it be a day?| 26 जनवरी 996 से 5 मई 996 के बीच कितने योग होंगे एक दिन ? JEE-2019


(3) Which of the following is different? | निम्न में से कौन भिन्न है ?JEE-2019


(4) How many times in the following numbers? right after 2 But There is no 3 to the immediate east of -1246123452125312443125 | निम्नलिखित संख्याओं में कितनी बार? 2 के ठीक बाद लेकिन -1246123452125312443125 के ठीक पूर्व में कोई 3 नहीं है JEE-2019


(5) 'A clock is showing the time 9 o'clock. if the small needle If it is in the east direction, then in which direction will the clock hand point? | 'एक घड़ी 9 बजे का समय बता रही है। यदि छोटी सूई पूर्व दिशा में हो तो घड़ी की सुई किस दिशा में होगी? JEE-2019


(6) "Just as a motorcar is kept in a garage Where is the airplane kept?| "जिस तरह एक मोटरकार को गैरेज में रखा जाता है, हवाई जहाज को कहाँ रखा जाता है? JEE-2019


(7) If M is taken ÷ P is taken as X, T is taken as +, and N is taken as -Then what will be their value in solving the following?16 M 2 P3 T8N2=? | यदि M को ÷ P को X के रूप में लिया जाए, T को + के रूप में लिया जाए और N को - के रूप में लिया जाए, तो निम्नलिखित को हल करने में उनका मान क्या होगा?16 M 2 P3 T8N2=?JEE-2019


(8) 'Which number will come in the blank? | 'रिक्त स्थान में कौन-सा अंक आएगा?JEE-2019


(9) The triangle indicates the MP and the circle the unemployed.to and quadrilateral indicates graduation, then the following Answer the questions According to the picture, who is represented only by the MP? | त्रिभुज MP को इंगित करता है और वृत्त बेरोजगार को इंगित करता है और चतुर्भुज स्नातक को इंगित करता है, तो निम्नलिखित प्रश्नों के उत्तर दें चित्र के अनुसार केवल सांसद किसका प्रतिनिधित्व करता है?JEE-2019


(10) The triangle indicates the MP and the circle the unemployed.to and quadrilateral indicates graduation, then the following Answer the questions Who represents only the unemployed? | त्रिभुज MP को इंगित करता है और वृत्त बेरोजगार को इंगित करता है और चतुर्भुज स्नातक को इंगित करता है, तो निम्नलिखित प्रश्नों के उत्तर दें कौन केवल बेरोजगारों का प्रतिनिधित्व करता है?JEE-2019


(11) The triangle indicates the MP and the circle the unemployed.to and quadrilateral indicates graduation, then the following Answer the questions Whom is B representing? | त्रिभुज MP को इंगित करता है और वृत्त बेरोजगार को इंगित करता है और चतुर्भुज स्नातक को इंगित करता है, तो निम्न प्रश्नों के उत्तर दें B किसका प्रतिनिधित्व करता है? JEE-2019


(12) Which of the following will be the correct answer on solving? | निम्नलिखित में से कौन सा हल करने पर सही उत्तर होगा?JEE-2019


(13) Arun is younger than Vijay but older than Vinay. is older than Raman. Lotus is the biggest Who is it?| अरुण विजय से छोटा है लेकिन विनय से बड़ा है। रमन से बड़ा है। कमल सबसे बड़ा कौन है ? JEE-2019


(14) Shikha pointing to a picture of a person says that "her brother's father is the only If there is a son then what does Shikha have to do with the person in that picture Is there a relationship?| शिखा एक व्यक्ति के चित्र की ओर इशारा करते हुए कहती है कि "उसके भाई का पिता ही है यदि कोई पुत्र है तो शिखा का उस चित्र के व्यक्ति से क्या लेना-देना है क्या कोई रिश्ता है? JEE-2019


(15) Which is the different word in the following - copper, brass, silver, zinc| निम्नलिखित में भिन्न शब्द कौन-सा है - ताँबा, पीतल, चाँदी, जस्ता JEE-2019


(16) 5, 12, 26, 54, ? yes so what number in place of Will you come? | 5, 12, 26, 54, ? हाँ तो आप किस नंबर के स्थान पर आयेंगे ?JEE-2019


(17) 4, 7, X, 5, 8, 0, 6, 9, 11 then what will come in place of X? Will it be a score? | 4, 7, X, 5, 8, 0, 6, 9, 11 तो X के स्थान पर क्या आएगा? क्या यह एक स्कोर होगा?JEE-2019


(18) PUT, KOP, DIJ, FKJ If so, which of the following is different? | PUT, KOP, DIJ, FKJ यदि हां, तो इनमें से कौन सा अलग है?JEE-2019


(19) 3, 4, 5 in sign language Go for there 6, 5, 7 And if There is not 2, 8, 6 it is best are written as What number will come in place of ? | सांकेतिक भाषा में 3, 4, 5 के लिए वहां जाएं 6, 5, 7 और यदि 2, 8, 6 नहीं है तो इसे सबसे अच्छा लिखा जाता है कि इसके स्थान पर कौन सा अंक आएगा?JEE-2019


(20) As paddy is related to the field, so is iron With whom will the ore be related? | जैसे धान का संबंध खेत से है, वैसे ही लोहे का संबंध अयस्क से किससे है? JEE-2019


(21) If minus (-) means division, multiplication (×) means Addition, plus (+) means multiplication and division (÷) If the meaning is to decrease, then what will be the value of the following?10+6 x 4-2÷6 =? | यदि ऋण (-) का अर्थ भाग, गुणा (×) का अर्थ जोड़, धन (+) का अर्थ गुणा और भाग (÷) का अर्थ घटाना हो तो निम्नलिखित का मान क्या होगा? 10+6 x 4-2 ÷6 =?JEE-2019


(22) If the value of EJOTY is 57 and the value of ACEGI is 52 then the value of EJOPI in the same form is what will happen? | यदि EJOTY का मान 57 है और ACEGI का मान 52 है तो उसी रूप में EJOTY का मान क्या होगा?JEE-2019


(23) If (6.6/7)x(T.1/3)=16 then what will come in place of T? | यदि (6.6/7)x(T.1/3)=16 हो, तो T के स्थान पर क्या आएगा?JEE-2019


(24) Rama pointing to a boy in a picture said that "her sister is the only daughter of my father So what does that boy have to do with Rama's father? Is there a relationship?| रमा ने एक तस्वीर में एक लड़के की ओर इशारा करते हुए कहा कि "उसकी बहन मेरे पिता की इकलौती बेटी है तो उस लड़के का रमा के पिता से क्या लेना-देना? क्या कोई रिश्ता है? JEE-2019


(25) Ram is fifteenth from the bottom while Ravi is at the top There are two people between Karan and Ram. Sunday If Karan is just below, how many people are there tomorrow? | राम नीचे से पंद्रहवां है जबकि रवि शीर्ष पर है करण और राम के बीच दो व्यक्ति हैं। रविवार यदि करण ठीक नीचे है, तो कल कितने लोग होंगे?JEE-2019


(26) If CBA, GFE, LKJ then what will be the next letter? | यदि CBA, GFE, LKJ तो अगला अक्षर क्या होगा?JEE-2019


(27) If the code of BDFHJ is LNPRT then the code of CEGIK is what would be the code? | यदि BDFHJ का कोड LNPRT है, तो CEGIK का कोड क्या होगा?JEE-2019


(28) If AZX, BXV, CVT, ? so what next will happen? | यदि AZX, BXV, CVT, ? तो आगे क्या होगाJEE-2019


(29) How many 3 are there in the following number sequence which is immediately preceded by 6's? is but immediately after 7 is not -2 3 7 4 3 5 6 3 7 4 6 3 8 9 6 5 1 8 3 7 2 4 2 8 6 3 9| निम्नलिखित संख्या अनुक्रम में ऐसे कितने 3 हैं जिनके ठीक पहले 6 है? है लेकिन 7 के तुरंत बाद नहीं है -2 3 7 4 3 5 6 3 7 4 6 3 8 9 6 5 1 8 3 7 2 4 2 8 6 3 9 JEE-2019


(30) Any. Sign language. IN CEGHIJOP POJIHGEC is written then in the same sign language What will be written to EJTOYRTS? | कोई भी। सांकेतिक भाषा। IN CEGHIJOP POJIHGEC लिखा जाता है तो उसी सांकेतिक भाषा में EJTOYRTS को क्या लिखा जाएगा?JEE-2019


(31) Which of the following dictionary will come first? stuge, schema, suciety, school | निम्न में से कौन सा शब्दकोश पहले आएगा? स्टूज, स्कीमा, सफलता, स्कूल JEE-2019


(32) A boy walks 12 km north of his house. walks Then turning right, 4 km. turns right again 9 km, walks. how far is that boy from his home And which side is he standing on?| एक लड़का अपने घर से 12 किमी उत्तर की ओर चलता है। चलता है फिर दाएँ मुड़कर 4 कि.मी. पुन: दाएँ मुड़कर 9 किमी चलता है। वह लड़का अपने घर से कितनी दूर है और किस तरफ खड़ा है ? JEE-2019


(33) 5, 10, 17, 26, 37, ? Yes so? what number in place of will happen? | 5, 10, 17, 26, 37, ? हाँ इसलिए? के स्थान पर कौन-सा अंक होगा?JEE-2019


(34) 'Emotion is an excited state of a person' The following statement which of the following? | 'संवेग एक व्यक्ति की उत्तेजित अवस्था है' निम्नलिखित में से कौन सा कथन है? JEE-2019


(35) Evaluation in educational development means | शैक्षिक विकास में मूल्यांकन का अर्थ हैJEE-2019


(36) The four stages of cognitive development - sensory-motor, pre-operational, macro-operational, and formal functional have been identified.| संज्ञानात्मक विकास के चार चरणों - संवेदी-मोटर, पूर्व-संचालन, मैक्रो-ऑपरेशनल और औपचारिक कार्यात्मक की पहचान की गई है। JEE-2019


(37) Learning ability is not affected by which of the following would have been | सीखने की क्षमता निम्न में से किससे प्रभावित नहीं होती JEE-2019


(38) Which learning psychologist has contributed to child-learning development? The award is not given importance? | किस अधिगम मनोवैज्ञानिक ने बाल अधिगम विकास में योगदान दिया है? पुरस्कार को महत्व नहीं दिया जाता है? JEE-2019


(39) Which one of the following affects the learning of the child? Can't find help?| निम्नलिखित में से कौन सा एक बच्चे के सीखने को प्रभावित करता है? मदद नहीं मिल रही है? JEE-2019


(40) Step out from the shadow of your parents and ask your fellow children is related to like the company of | अपने माता-पिता की छाया से बाहर निकलो और अपने साथी बच्चों से पूछो की कंपनी की तरह से संबंधित हैJEE-2019


(41) To touch the heights of mental maturity Staying alert is related to| मानसिक परिपक्वता की ऊँचाइयों को छूने के लिए सतर्क रहना JEE-2018


(42) The factors affecting the learning process are | सीखने की प्रक्रिया को प्रभावित करने वाले कारक हैं JEE-2018


(43) How is motivation useful in children's learning? are considered | बच्चों के सीखने में प्रेरणा कैसे उपयोगी है? माना जाता है JEE-2018


(44) Best for maintaining discipline in the class what is an effective solution?| कक्षा में अनुशासन बनाए रखने के लिए सबसे अच्छा उपाय क्या है? JEE-2018


(45) Best for maintaining discipline in the class What is an effective solution? | कक्षा में अनुशासन बनाए रखने के लिए सर्वोत्तम एक प्रभावी उपाय क्या है? JEE-2018


(46) In childhood, the activities of children are …………….| बाल्यकाल में बच्चों की गतिविधियाँ ……………. JEE-2018


(47) If a teacher feels that one of his students is learning the first subject well was. There is stability in that. to the teacher | यदि किसी शिक्षक को लगता है कि उसका कोई छात्र पहले विषय को अच्छे से सीख रहा है। उसमें स्थिरता है। शिक्षक के लिए JEE-2018


(48) If a teacher feels that one of his students who is learning the first subject well Was. There is stability in that. to the teacher | अगर किसी शिक्षक को लगता है कि उसका कोई छात्र जो पहले विषय को अच्छे से सीख रहा था। उसमें स्थिरता है। शिक्षक के लिए JEE-2019


(49) If the attitude of a student in your class. If the teacher wants to change, so be it.| यदि आपकी कक्षा में किसी छात्र का रवैया है। अगर शिक्षक बदलना चाहता है, तो हो। JEE-2018


(50) Piaget is mainly known for his contribution to the field of Let's go | पियागेट को मुख्य रूप से लेट्स गो के क्षेत्र में उनके योगदान के लिए जाना जाता है भाषा विकास JEE-2018


(51) A light year is equal to how many trees? | एक प्रकाश वर्ष कितने वृक्षों के बराबर होता है?JEE-2018


(52) In which law of Newton is 'inertia of rest' or 'of motion' Inertia' is referred to-| न्यूटन के किस नियम में 'विश्राम का जड़त्व' या 'गति का जड़त्व' कहा जाता है- JEE-2018


(53) Which type of force is calculated from the formula F= mv^2/r?| F= mv^2/r सूत्र से किस प्रकार के बल की गणना की जाती है?JEE-2018


(54) Which of the following is not a part of DNA-| निम्न में से कौन सा DNA का भाग नहीं है- JEE-2018


(55) Under which gland is the gall bladder located? | पित्ताशय किस ग्रंथि के नीचे स्थित होता है? JEE-2018


(56) Chromosomes are basically formed by-| गुणसूत्र मूल रूप से बनते हैं- JEE-2018


(57) What is the percentage of water in living bone? | जीवित अस्थि में जल का प्रतिशत कितना होता है ?JEE-2018


(58) Carbon, hydrogen, oxygen, nitrogen, sulfur, and part of a complex organic substance like phosphorus consists of what is collectively called-| कार्बन, हाइड्रोजन, ऑक्सीजन, नाइट्रोजन, गंधक और फॉस्फोरस जैसे जटिल कार्बनिक पदार्थ के कुछ भाग मिलकर सामूहिक रूप से कहलाते हैं- JEE-2018


(59) The total amount of minerals in the human body Approximately what percent of the weight is? | मानव शरीर में खनिजों की कुल मात्रा का भार लगभग कितना प्रतिशत होता है ?JEE-2018


(60) Mosquitoes and flies and spiders are animals of which hornet? | मच्छर और मक्खियाँ और मकड़ियाँ किस सींग के जानवर हैं? JEE-2018


(61) How many cellular organisms are protege-| कितने कोशिकीय जीव आश्रित हैं- JEE-2018


(62) Where do we store our food like potatoes, onions, and sugarcane? does| हम अपना भोजन जैसे आलू, प्याज और गन्ना कहाँ रखते हैं? करता है JEE-2018


(63) How do plants prepare their food? | पौधे अपना भोजन कैसे तैयार करते हैं? JEE-2018


(64) Which of the following is not a unisexual flower? | निम्नलिखित में से कौन-सा एकलिंगी पुष्प नहीं है ? JEE-2018


(65) Green plants get food from photosynthesis only. What affects the weight of plants during respiration? | हरे पौधे प्रकाश संश्लेषण से ही भोजन प्राप्त करते हैं। श्वसन के दौरान पौधों के वजन को क्या प्रभावित करता है?JEE-2018


(66) Does Lactometer measure the purity of which of the following? | लैक्टोमीटर निम्नलिखित में से किसकी शुद्धता को मापता है? JEE-2018


(67) A glass jar with a solution of Sulfuric acid is filled in the bottle-| सल्फ्यूरिक एसिड के घोल के साथ एक ग्लास जार बोतल में भर जाता है- JEE-2018


(68) Henry Bessemer invented a new method to make was invented | हेनरी बेसेमर ने बनाने की एक नई विधि का आविष्कार किया था JEE-2018


(69) If A is the mean of x,y and z and (x+y)z is If xy is the additive inverse, then x^2 is the mean of y^2 and y^2. | अगर ए एक्स, वाई और जेड का मतलब है और (x+y)z है अगर xy योजक उलटा है, तो x^2 y^2 और y^2 का मतलब है।JEE-2018


(70) Which velocity is generated by the cyclotron?| साइक्लोट्रॉन किस वेग से उत्पन्न होता है? JEE-2018


(71) Age of non-living things like earth, old rocks, etc. What is used to find out? JEE-2018


(72) Except for which of the following the assembly is inactive Atoms have 8 electrons in the outermost orbit. | निम्नलिखित में से किसको छोड़कर असेंबली निष्क्रिय है परमाणुओं में सबसे बाहरी कक्षा में 8 इलेक्ट्रॉन होते हैं। JEE-2018


(73) When the atom has only one electron left which covalent bond is formed when shared? | जब परमाणु में केवल एक इलेक्ट्रॉन रह जाता है तो साझा करने पर कौन सा सहसंयोजक बंधन बनता है? JEE-2018


(74) What are the types of sound waves? | ध्वनि तरंगें कितने प्रकार की होती हैं? JEE-2018


(75) Out of iron, seawater, glass, aluminum, and mercury What has the highest velocity of sound? | लोहा, समुद्री जल, कांच, एल्युमीनियम और पारा में से ध्वनि का वेग सर्वाधिक होता है? JEE-2018


(76) In which country was the first oil well drilled in the world? | विश्व में सबसे पहले तेल का कुआं किस देश में खोदा गया? JEE-2018


(77) Which of the following is called the protein factory? | निम्नलिखित में से किसे प्रोटीन का कारखाना कहा जाता है? JEE-2018


(78) Which of the following is not a radioactive ray| निम्नलिखित में से कौन सी रेडियोएक्टिव किरण नहीं है JEE-2018


(79) How many chambers are there in the heart of a cockroach? | कॉकरोच के हृदय में कितने कक्ष होते हैं?JEE-2018


(80) Which of the following is the process of rusting iron is there a change?| निम्नलिखित में से कौन-सी लोहे में जंग लगने की प्रक्रिया में कोई परिवर्तन होता है? JEE-2018


(81) In the gases coming out of petroleum wells, whose is portion higher? | पेट्रोलियम कुओं से निकलने वाली गैसों में किसका भाग अधिक होता है? JEE-2018


(82) Which of the following types of iron contains carbon what is the maximum quantity?| निम्नलिखित में से किस प्रकार के लोहे में कार्बन होता है अधिकतम मात्रा क्या है? JEE-2018


(83) Which of the following gas is not found in biogas?| निम्नलिखित में से कौन सी गैस बायोगैस में नहीं पाई जाती है? JEE-2018


(84) How many groups and groups in the periodic table were created by Mendeleev? Were there periods? | मेंडेलीव द्वारा आवर्त सारणी में कितने समूह और समूह बनाए गए थे? क्या पीरियड्स थे? JEE-2018


(85) Dr. N.A. cytosine found in me with is connected?| मुझमें पाया जाने वाला डॉ. एन.ए. साइटोसिन किससे संबंधित है? JEE-2018


(86) What is the temperature of nitrogen taken in a gas thermometer? | गैस थर्मामीटर में लिए गए नाइट्रोजन का तापमान कितना होता है?JEE-2018


(87) Which of the following colors are known as primary colors are known? | निम्नलिखित में से कौन से रंग प्राथमिक रंग कहलाते हैं? JEE-2018


(88) A telescope is often used for viewing celestial objects and used to see other distant objects How many lenses are attached to it? | टेलीस्कोप का उपयोग अक्सर आकाशीय पिंडों को देखने के लिए किया जाता है और अन्य दूर की वस्तुओं को देखने के लिए किया जाता है इसमें कितने लेंस जुड़े होते हैं? JEE-2018


(89) Potato mosaic disease is caused by which virus? | आलू मोज़ेक रोग किस विषाणु के कारण होता है? JEE-2018


(90) Who is known as the father of Anurveshiki? | अनुर्वेशिकी का जनक किसे कहा जाता है ? JEE-2018


(91) What is the effect of hypoglycemia on the body Does matter? | हाइपोग्लाइसीमिया का शरीर पर क्या प्रभाव पड़ता है? JEE-2018


(92) Adrenaline Where does it come from? | एड्रेनालाईन यह कहाँ से आता है? JEE-2018


(93) In which year was dynamite invented by Alfred Noble it was done? | डायनामाइट का आविष्कार अल्फ्रेड नोबल ने किस वर्ष किया था?JEE-2018


(94) What is the value of escape velocity from the surface of the earth? | पृथ्वी की सतह से पलायन वेग का मान कितना होता है?JEE-2018


(95) When the atmospheric pressure is equal to the level of 76 cm of mercury If so, at what temperature does water boil? | जब वायुमण्डलीय दाब 76 सेमी पारे के स्तर के बराबर हो जाता है तो पानी किस ताप पर उबलता है?JEE-2018


(96) If a^x=b,b^y=c and c^z=a, then (xyz) will be the post-mortem value | अगर a^x=b,b^y=c and c^z=a, तो (xyz) पोस्टमार्टम मूल्य होगाJEE-2018


(97) The image formed by a convex spherical mirror is| उत्तल गोलीय दर्पण से बनने वाला प्रतिबिम्ब होता हैJEE-2018


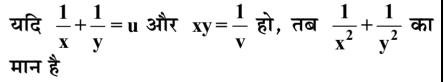
(98) If 1/x +1/y=u and xy=1/v, then the value of 1/x^2+1/y^2 isJEE-2018


(99) The vertices of a quadrilateral ABCD are on the circumference of a circle.If AB is the diameter of the circle and ∠ADC = 130", Then the value of ∠BAC is. तो ∠BACका मान है एक चतुर्भुज ABCD के शीर्ष एक वृत्त की परिधि पर हैं। यदि AB वृत्त का व्यास है और ∠ADC = 130", तो ∠BAC का मान है।JEE-2018


(100) If a, b and c are any three non-zero real numbers and a/2=b/3=c/4=2a-3b+5c/A, then the ratio of A | यदि ए, बी और सी तीन गैर-शून्य वास्तविक संख्याएं हैं और a/2=b/3=c/4=2a-3b+5c/A, तो ए का अनुपातJEE-2018