Tata Steel Trainee Result 2022 for RR & Non Employee Ward
| | |
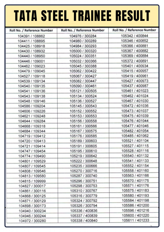
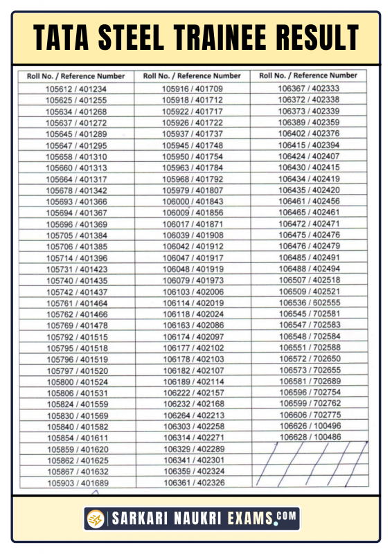
| Tata Iron and Steel Company Limited (TISCO) has declared the result for the post of Tata Steel Trainee - 2022. Exam for this post(s) was held on 06/Mar/2022. Result has been declared on 26/Mar/2022 for this examination. So we have good news that result for this examination is available online now. Congratualtions to the candidates who qualified this examination, we wish them a bright future ahead. If you appeard in this examination you can check your result/Rank/Cut-off by navigating to Quick links section and click on Result Link, It will redirect you to result page or you can follow steps explained below. Tata Iron and Steel Company Limited (TISCO) ने Tata Steel Trainee - 2022 के पद के लिए परिणाम घोषित कर दिया है। इस भर्ती के लिए कुल रिक्तियां थीं। यदि आप इस परीक्षा में शामिल हैं तो आप अपना परिणाम / रैंक / कट-ऑफ देख सकते हैं त्वरित लिंक अनुभाग में नेविगेट करना और परिणाम लिंक पर क्लिक करें, यह आपको परिणाम पृष्ठ पर रीडायरेक्ट करेगा या आप नीचे बताए गए चरणों का पालन कर सकते हैं। Job Location - All India |
Post Name
- Tata Steel Trainee - 2022
You can get Detailed Description Step By Step below-
Important details | Vacancy | Selection Process
| Advertisement No(विज्ञापन संख्या) | EB/10/2021 |
| Pay Scale(वेतनमान) | Rs.as per department rule |
| Selection Process(चयन प्रक्रिया) | Written Exam | Interview | Medical Test |
Important Dates | Form Last Date
| Application Opening Date(आवेदन शुरू होने की तारीख) | 22/Mar/2021 |
| Exam Date(परीक्षा की तारीख) | 06/Mar/2022 |
| Result Declaration Date(रिजल्ट आने की तारीख) | 26/Mar/2022 |
Apply Online | Notification Download | Quick Links
| Download Result(परिणाम डाउनलोड करें) | RESULT |
| Official Website(आधिकारिक वेबसाइट) | CLICK HERE |
| Download App [ For Latest Updates Download Our Andriod App ] | CLICK HERE |
| | |
| ✍ Previous Year Paper | CLICK HERE |
| |
Important Exam Mock Tests
You can prepare for your exam with our online mock tests, Attend Test check your preparation & learn more. It's free of cost.
| Practice Test | GK Basic Test Math Mix Test Reasoning Test English Synonyms GK Physics GK Biology |
Comments-
Sarkari Naukri Exams-
Thanks for visiting us!
If you have any question please add a comment.
We will reply within 24 Hours.
Thanks & Regards!
Sarkari Naukri Exams.
Updated:
Highlights
Advertisements

.png)
.png)
.png)
.png)
Comment