Get fee details about admission, Tuition fee and transort fee and other fee details.
Fee Rules:- (Click Here)

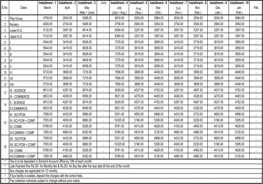
From February to April, fees have to be paid by the 10th of every month, if for some reason you are unable to submit the school fees by 25 March, the principal has to submit an application form to the school office.
Non-deposit of fees within the given date will attract a penalty of ₹ 50 and a penalty for the ₹ 25 bus at the end of every month.
If the fees are not deposited for two consecutive months, the child's name will be removed from this school and a ₹ 200 fee will be charged for re-admission.